Just Accepted

Just Accepted Articles have been posted online after technical editing and typesetting for immediate view. The final edited version with page numbers will appear in the Current Issue soon.
Submit a Manuscript
Highly selective glycerol electrooxidation assisted hybrid water electrolysis using a trifunctional heterojunction CoP/(Fe0.25Co0.75)3N catalyst

Yuxiang Tang, Yong Zhang, Wenjun Qin, Xiaolin Wei, Yuxue Mo*, Haiqing Zhou*

https://doi.org/10.1016/j.cjsc.2026.100922

Electrocatalyst; Non-noble; Water electrolysis; Glycerol oxidation reaction; Heterostructure

ABSTRACT

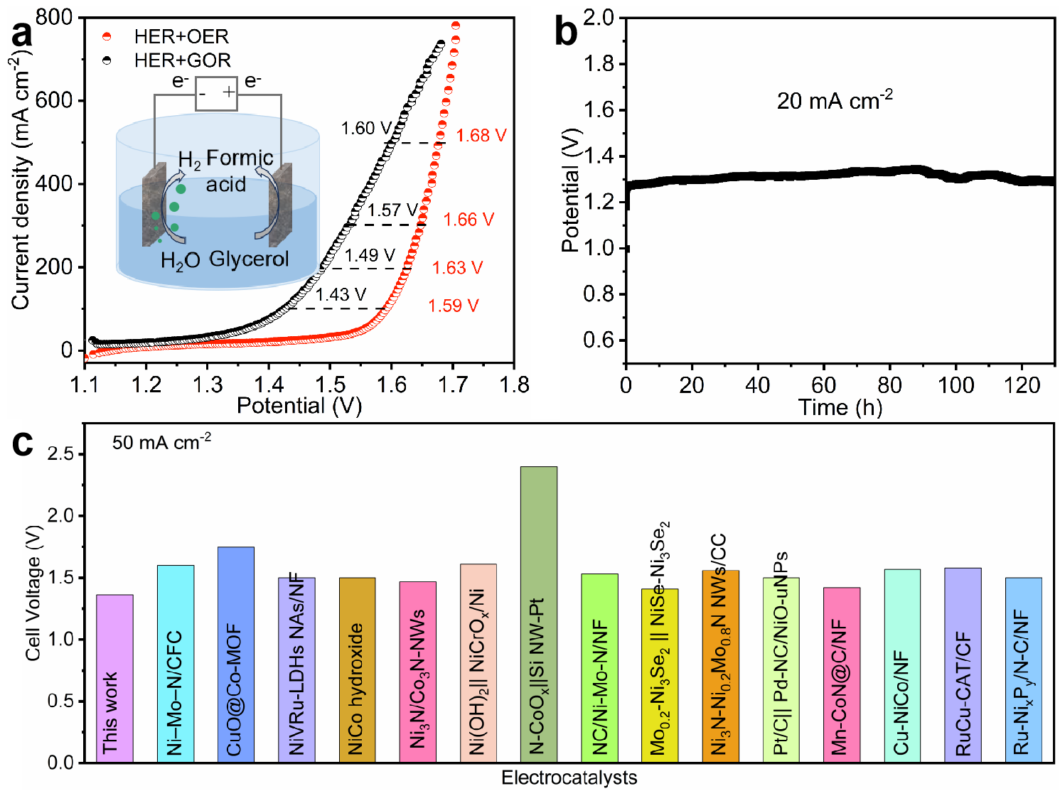
Electrochemical water splitting represents a pivotal technology for sustainable hydrogen production, yet its widespread implementation is hindered by the kinetically sluggish oxygen evolution reaction (OER) at the anode, which requires prohibitively high overpotentials. To address this critical challenge, here we present a novel heterostructure CoP/(Fe0.25Co0.75)3N catalyst system coupled with glycerol oxidation as an alternative anodic reaction. The CoP/(Fe0.25Co0.75)3N catalyst demonstrates exceptional hydrogen evolution reaction (HER) performance, achieving a remarkably low overpotential of 41.4 mV at 10 mA cm-2 in 1 M KOH. More importantly, when applied to the glycerol oxidation reaction (GOR) as an alternative to the conventional OER, the catalyst requires substantially lower potentials of 1.26 and 1.42 V to reach current densities of 50 and 500 mA cm-2, highlighting its superior thermodynamic and kinetic activity. The stable Co(III) active sites in the CoP/(Fe0.25Co0.75)3N anode enable highly selective glycerol electrooxidation in a GOR-assisted hybrid electrolyzer, simultaneously facilitating hydrogen production and the generation of high-value formic acid with outstanding long-term stability (>130 h at 20 mA cm-2). Furthermore, in-situ XPS and EIS analysis reveals that the CoP/(Fe0.25Co0.75)3N is rapidly reconstructed into metal oxides, forming dynamically stable CoOOH species during the OER or GOR process.


PDF Download PDF Download Supporting Information

Download Times 0 Article Views 439